Skip to main content
Logo
    • About OIST
    • Facts and Figures
      • President
      • Presidential Media Library
      • Presidential Lectures
      • Office of the President
      • President's Council
      • Leadership and Governance
      • Officers & Senior Management
      • Board of Governors
      • Board of Councilors
      • Organigram
      • Former Presidents
      • Policies, Rules & Procedures
      • History
      • OIST Promotion Corporation
      • Koji Omi
    • Publications and Reports
      • Procurement
      • Tender for Construction
      • Tender for Goods and Services
      • Procurement Regulations
      • Supplier Guidance (Japan)
      • Supplier Guidance (International)
      • Directions for Delivery & Sales
      • Electronic Procurement System
    • Whistleblower Report Hotline
      • Information Disclosure
      • Basic Information
      • Guidance on the Procedures for Information Access
      • Guidance on the Procedures for Personal Information Protection
      • Regarding the Private School Act
      • Regarding the School Education Act
      • Regarding Information Held by Independent Administrative Agencies
      • Regarding the provisions of the Document Management Act
      • Regarding the Personal Information Protection Act
      • Other
      • Health and Safety at OIST
      • Know Safety, No Pain
      • Health Center
    • OIST Clinic
      • Privacy Policy
      • Personal Information File Register
    • Research at OIST
      • Researchers and Research Units
      • Faculty
      • Research Units
      • Science and Technology Group
      • Buribushi Fellowship
      • Open Centers
      • OIST Center for Quantum Technologies
      • Open Center for Energy
      • Research Activities
      • Research Specialties
      • Conferences & Workshops
      • Annual Reports
      • Research News
      • Research Facilities
      • Core Facilities
      • OIST Marine Science Station
      • OIST Sea neXus
      • OIST Land neXus
      • Research Support
      • Research Funds
      • Library
      • OIST IR (Institutional Repository)
      • Core Facilities
      • Research Professional Development
      • Industry-Academia-Government-Finance Collaboration
      • Shohei Suzuki Research Safety Fund
      • Grants & Partnerships
      • Visiting Program
      • Academic Partnership
      • Institutional Grant Initiatives
      • Other Grant Initiatives
      • Academic Governance
      • Office of the Provost
      • Dean of Research Office
      • Office of Dean of Graduate School
      • Research Compliance
      • Research Integrity
      • Research Safety
      • Data Management
      • Compliance Initiative
  • Education
  • Admissions
  • Innovation
    • News
    • Media Coverage
    • Social Media
    • Podcast
    • To members of the press
    • People of OIST
    • Community and Education Outreach
    • Outreach News
      • Elementary School
      • Junior High School
      • STEP Okinawa
      • Unna Junior High School Science Club
      • High School
      • SEED Program
      • SHIMA
      • HiSci Lab
    • University
    • General Public
      • Exhibitions and Installations
      • Bacteriophage (“bacteria devouring” virus) visualized with cryo-Electron Microscopy
      • Images of Science
      • Our contribution to Okinawa
      • COVID Community Projects
      • OISTer Spotlight
    • SDGs
    • OIST Science Studio
      • Campus Life
      • Resource Center
      • OIST Clinic
      • Recreation Services
      • Shops and Restaurants
      • Childcare and Education
      • Housing
      • Ganjuu Wellbeing Service
      • Campuses and Facilities
      • Event Venues
      • Research Facilities
      • Community Facilities
      • Tokyo Office
      • Seaside House
      • Marine Science Station
      • Access
    • Parking
    • Open Positions
    • Faculty Positions
    • Background Check
    • HR Relocation
    • Diversity
    • Professional Development & Inclusion
    • FAQ
  • Education
  • Admissions
  • Innovation
  • About OIST
  • Facts and Figures
  • Publications and Reports
  • Whistleblower Report Hotline
  • OIST Clinic
  • Research at OIST
  • News
  • Media Coverage
  • Social Media
  • Podcast
  • To members of the press
  • People of OIST
  • Community and Education Outreach
  • Outreach News
  • University
  • General Public
  • SDGs
  • OIST Science Studio
  • Parking
  • Open Positions
  • Faculty Positions
  • Background Check
  • HR Relocation
  • Diversity
  • Professional Development & Inclusion
  • FAQ
  • President
  • Presidential Media Library
  • Presidential Lectures
  • Office of the President
  • President's Council
  • Leadership and Governance
  • Officers & Senior Management
  • Board of Governors
  • Board of Councilors
  • Organigram
  • Former Presidents
  • Policies, Rules & Procedures
  • History
  • OIST Promotion Corporation
  • Koji Omi
  • Procurement
  • Tender for Construction
  • Tender for Goods and Services
  • Procurement Regulations
  • Supplier Guidance (Japan)
  • Supplier Guidance (International)
  • Directions for Delivery & Sales
  • Electronic Procurement System
  • Information Disclosure
  • Basic Information
  • Guidance on the Procedures for Information Access
  • Guidance on the Procedures for Personal Information Protection
  • Regarding the Private School Act
  • Regarding the School Education Act
  • Regarding Information Held by Independent Administrative Agencies
  • Regarding the provisions of the Document Management Act
  • Regarding the Personal Information Protection Act
  • Other
  • Health and Safety at OIST
  • Know Safety, No Pain
  • Health Center
  • Privacy Policy
  • Personal Information File Register
  • Researchers and Research Units
  • Faculty
  • Research Units
  • Science and Technology Group
  • Buribushi Fellowship
  • Open Centers
  • OIST Center for Quantum Technologies
  • Open Center for Energy
  • Research Activities
  • Research Specialties
  • Conferences & Workshops
  • Annual Reports
  • Research News
  • Research Facilities
  • Core Facilities
  • OIST Marine Science Station
  • OIST Sea neXus
  • OIST Land neXus
  • Research Support
  • Research Funds
  • Library
  • OIST IR (Institutional Repository)
  • Core Facilities
  • Research Professional Development
  • Industry-Academia-Government-Finance Collaboration
  • Shohei Suzuki Research Safety Fund
  • Grants & Partnerships
  • Visiting Program
  • Academic Partnership
  • Institutional Grant Initiatives
  • Other Grant Initiatives
  • Academic Governance
  • Office of the Provost
  • Dean of Research Office
  • Office of Dean of Graduate School
  • Research Compliance
  • Research Integrity
  • Research Safety
  • Data Management
  • Compliance Initiative
  • Elementary School
  • Junior High School
  • STEP Okinawa
  • Unna Junior High School Science Club
  • High School
  • SEED Program
  • SHIMA
  • HiSci Lab
  • Exhibitions and Installations
  • Bacteriophage (“bacteria devouring” virus) visualized with cryo-Electron Microscopy
  • Images of Science
  • Our contribution to Okinawa
  • COVID Community Projects
  • OISTer Spotlight
  • Campus Life
  • Resource Center
  • OIST Clinic
  • Recreation Services
  • Shops and Restaurants
  • Childcare and Education
  • Housing
  • Ganjuu Wellbeing Service
  • Campuses and Facilities
  • Event Venues
  • Research Facilities
  • Community Facilities
  • Tokyo Office
  • Seaside House
  • Marine Science Station
  • Access
  • Giving Back to OIST
  • News
  • Contact Us
  • OIST Member Login
Light-Matter Interactions for Quantum Technologies Unit
  • Síle Nic Chormaic
  • Research
  • Publications
    • Presentations
    • Presentations (2012-2021)
    • Unit Members
      • Alumni Profiles
      • Graduates
      • Staff
  • Visitors
  • Unit Seminar Series
    • Annual Reports
    • FY2011 Annual Report
    • FY2012 Annual Report
    • FY2013 Annual Report
    • FY2014 Annual Report
    • FY2015 Annual Report
    • FY2016 Annual Report
    • FY2017 Annual Report
    • FY2018 Annual Report
    • FY2019 Annual Report
    • FY2020 Annual Report
    • FY2021 Annual Report
    • FY2022 Annual Report
    • FY2023 Annual Report
  • Upcoming Events
  • Past Events
  • Calendar
  • Unit News
  • Síle Nic Chormaic
  • Research
  • Publications
  • Visitors
  • Unit Seminar Series
  • Upcoming Events
  • Past Events
  • Calendar
  • Unit News
  • Presentations
  • Presentations (2012-2021)
  • Unit Members
  • Annual Reports
  • FY2011 Annual Report
  • FY2012 Annual Report
  • FY2013 Annual Report
  • FY2014 Annual Report
  • FY2015 Annual Report
  • FY2016 Annual Report
  • FY2017 Annual Report
  • FY2018 Annual Report
  • FY2019 Annual Report
  • FY2020 Annual Report
  • FY2021 Annual Report
  • FY2022 Annual Report
  • FY2023 Annual Report
  • Alumni Profiles
  • Graduates
  • Staff
OIST Shisa
< Return to the main OIST website
  • English
  • |
  • 日本語
Light-Matter Interactions for Quantum Technologies Unit
Light-Matter Interactions for Quantum Technologies Unit
 
Select Language
Search
  • English
  • |
  • 日本語
close language switcher
search
close search

Breadcrumb

Home
arrow right
Research
arrow right
Research Updates

08 July 2022

08 July 2022: Publication in Phys. Rev. A

 

Angular Momentum of Guided Light

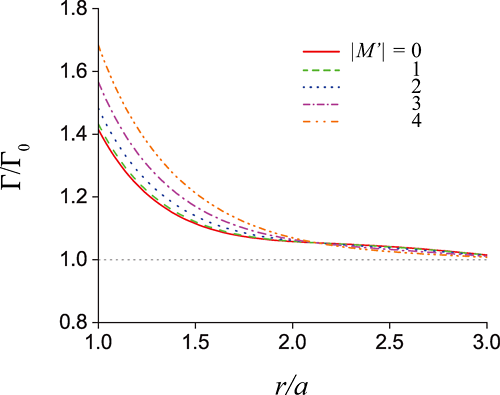
Transfer of angular momentum of guided light to an atom with an electric quadrupole transition near an optical nanofiber.  F Le Kien, S Nic Chormaic and T Busch. Phys. Rev. A 106, 013712 (2022)

Research Unit

Light-Matter Interactions for Quantum Technologies Unit

Related News

Research Update
Two-photon Microscopy: A powerful tool to observe neuronal activity
Research Update
New weather radar test conducted at OIST
For the next month, JAXA and NICT will use parts of the OIST Onna campus in experiments which may lead to advances in weather forecasting and flood prediction.
Research Update
Paper by Dr. Hiroaki Kitano published in Nature Chemical Biology
A paper by Dr. Hiroaki Kitano, Principal Investigator of the Open Biology Unit, was published in Nature Chemical Biology. The paper discusses a new type of big science emerging that involves knowledge integration and collaboration among small sciences.
Research Update
OIST Researchers Contribute to Findings Behind Mealybug Symbiosis
A research team including OIST's Prof. Noriyuki Satoh has discovered that mealybugs have a tripartite symbiosis dependent on genes from multiple diverse bacteria.
Institutional News
OIST Meets Young Hopefuls in Tokyo and Sapporo
OIST Café, a seminar aimed at science students, was inaugurated in April in Tokyo. This month it was held again in Tokyo, and also in Sapporo, on June 16 and 19.
Giving to OIST Policy Library Information Disclosure Audits Whistleblower Report Hotline Social Media Access Sitemap
Linkedin icon
Linkedin
Flickr icon
Flickr
Facebook icon
Facebook
YouTube icon
YouTube
Instagram icon
Instagram
Vimeo icon
Vimeo
X (Twitter) icon
X (Twitter)
Bluesky icon
Bluesky
LINE icon
LINE
RSS Feed icon
RSS Feed

header-logo
Okinawa Institute of Science and Technology
1919-1 Tancha, Onna-son, Kunigami-gun
Okinawa, Japan 904-0495
Contact us
Subscribe to the OIST Mailing List The OIST graduate education and research program is cross-disciplinary and aims to be at the leading edge of research in science and technology.
Subscribe
Data Storage Acknowledgment:
Please note that the information you enter will be stored and processed on servers located outside of Japan. OIST is committed to handling your personal data in accordance with applicable privacy laws, including Japan’s Act on the Protection of Personal Information (APPI), and to taking appropriate safeguards.

Copyright © 2011-2026 Okinawa Institute of Science and Technology Graduate University
OIST Member Login Privacy Policy